English
全部
搜索
图片
视频
地图
资讯
更多
购物
航班
旅游
笔记本
报告不当内容
请选择下列任一选项。
无关
低俗内容
成人
儿童性侵犯
时长
全部
短(小于 5 分钟)
中(5-20 分钟)
长(大于 20 分钟)
日期
全部
过去 24 小时
过去一周
过去一个月
去年
清晰度
全部
低于 360p
360p 或更高
480p 或更高
720p 或更高
1080p 或更高
源
全部
Dailymotion
Vimeo
Metacafe
Hulu
VEVO
Myspace
MTV
CBS
Fox
CNN
MSN
价格
全部
免费
付费
清除筛选条件
安全搜索:
中等
严格
中等(默认)
关闭
筛选器
3:51
Khan Academy
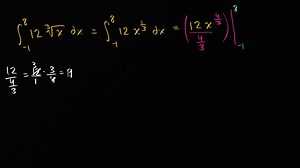
Definite integral of radical function
Sal finds the definite integral of 12∛x between -1 and 8 using the reverse power rule.
2016年8月25日
Root Finding Methods
Finding Square Root by Division Method | Shaalaa.com
shaalaa.com
2020年10月13日
Estimating Square Root And Cube Root Of Numbers With Examples
byjus.com
2016年11月13日
Better Android Root Detection
appdome.com
4 个月之前
热门视频
Integration of Rational Functions With Square Roots
onlinemath4all.com
2019年2月3日
2:46
Integrating Radical Functions (Square Root of x)Integrating Polynomials and Radical Functions
YouTube
SmartNotes Ai
已浏览 159 次
1 个月前
3:16
Definite Integral of (x + √x) / (√x + 1) from 0 to 4
YouTube
smooth integrals
已浏览 150 次
4 个月之前
Newtons Method
newton's revolutionary method: binomial expansion and the quest for pi | SchoolTube
schooltube.com
已浏览 1 次
2024年9月23日
8:03
Newton’s Laws of Motion | Glenn Research Center | NASA
nasa.gov
2024年6月27日
6:52
Newton's Method in Calculus | Formula, Equation & Examples
Study.com
已浏览 6.4万 次
2018年10月10日
Integration of Rational Functions With Square Roots
2019年2月3日
onlinemath4all.com
2:46
Integrating Radical Functions (Square Root of x)Integrating Poly
…
已浏览 159 次
1 个月前
YouTube
SmartNotes Ai
3:16
Definite Integral of (x + √x) / (√x + 1) from 0 to 4
已浏览 150 次
4 个月之前
YouTube
smooth integrals
0:35
How to Integrate Square Root of x | Calculus 101 - Step-by-Step
已浏览 51 次
1 个月前
YouTube
Math Infinitum
How to Integrate Rational Functions
已浏览 7.1万 次
2014年5月7日
YouTube
infinityplusone
Understanding Integrals: Infinite Roots in Mathematics
已浏览 1.9万 次
10 个月之前
TikTok
planar_graph_notes
Examples: Integrals with Square Roots and Trig Functions
已浏览 908 次
2023年3月2日
YouTube
Divide and Conquer Math
oh man, that extra square root! (can we still use partial fractions?)
已浏览 1.1万 次
2023年2月3日
YouTube
bprp calculus basics
16:06
Calculus Rational Function Integration Method
已浏览 1.2万 次
2020年2月20日
YouTube
연고편입
14:53
Irrational Roots
已浏览 27.1万 次
2018年12月24日
YouTube
Mathologer
10:47
Indefinite Integral
已浏览 91.8万 次
2018年3月8日
YouTube
The Organic Chemistry Tutor
31:29
Trigonometric Integrals
已浏览 246万 次
2021年3月26日
YouTube
The Organic Chemistry Tutor
20:30
Integral Zero Theorem Or Integral Root Theorem
已浏览 468 次
2024年12月1日
YouTube
Calculus
7:15
Calculus - Definite Integrals
已浏览 89万 次
2019年12月21日
YouTube
The Organic Chemistry Tutor
3:26
Integrating log(x) - LearnMathsFree
已浏览 20万 次
2015年10月10日
YouTube
CrystalMath
32:52
Integration By Parts
已浏览 400.3万 次
2021年3月25日
YouTube
The Organic Chemistry Tutor
12:40
Integration By Tables
已浏览 9.2万 次
2018年3月23日
YouTube
The Organic Chemistry Tutor
14:13
Basic Integration Problems
已浏览 114.9万 次
2018年3月7日
YouTube
The Organic Chemistry Tutor
15:37
Basic Integration... How? (NancyPi)
已浏览 139.5万 次
2018年8月22日
YouTube
NancyPi
40:04
Calculus 1 - Integration & Antiderivatives
已浏览 265.6万 次
2018年7月10日
YouTube
The Organic Chemistry Tutor
7:34
Integral Domains (Abstract Algebra)
已浏览 22.7万 次
2017年6月4日
YouTube
Socratica
41:07
Integration By Partial Fractions
已浏览 357.4万 次
2021年3月24日
YouTube
The Organic Chemistry Tutor
25:48
How to Integrate Using U-Substitution (NancyPi)
已浏览 222.4万 次
2018年8月25日
YouTube
NancyPi
2:38
Graphing Cube Root Functions | Algebra
已浏览 14.6万 次
2018年1月27日
YouTube
The Organic Chemistry Tutor
1:26
Integral of lnx
已浏览 58.6万 次
2018年3月15日
YouTube
The Organic Chemistry Tutor
10:40
Integration Using The Substitution Rule
已浏览 70.1万 次
2018年5月7日
YouTube
Professor Dave Explains
15:30
Derivatives of Radical Functions
已浏览 107.3万 次
2018年2月26日
YouTube
The Organic Chemistry Tutor
1:40
Integral of sqrt(1-2x)
已浏览 30万 次
2017年3月27日
YouTube
Cowan Academy
11:30
Fundamental Theorem of Calculus Part 1
已浏览 163.2万 次
2018年3月10日
YouTube
The Organic Chemistry Tutor
观看更多视频
更多类似内容
反馈