English
全部
搜索
图片
视频
地图
资讯
更多
购物
航班
旅游
笔记本
报告不当内容
请选择下列任一选项。
无关
低俗内容
成人
儿童性侵犯
时长
全部
短(小于 5 分钟)
中(5-20 分钟)
长(大于 20 分钟)
日期
全部
过去 24 小时
过去一周
过去一个月
去年
清晰度
全部
低于 360p
360p 或更高
480p 或更高
720p 或更高
1080p 或更高
源
全部
Dailymotion
Vimeo
Metacafe
Hulu
VEVO
Myspace
MTV
CBS
Fox
CNN
MSN
价格
全部
免费
付费
清除筛选条件
安全搜索:
中等
严格
中等(默认)
关闭
筛选器
10:47
Self Determination Theory and How It Explains Motivation
2018年6月21日
positivepsychology.com
Bluetooth Direction Finding: A Technical Overview | Bluetooth® T
…
2019年3月19日
bluetooth.com
Webinar: An Introduction to Direction Finding
2020年1月16日
rohde-schwarz.com
Mention the Methods by Which Directions Are Located. - Geograp
…
2024年9月17日
shaalaa.com
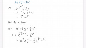
(a) Draw a direction field for the given differential equation. (b) Bas
…
2024年10月3日
numerade.com
(a) Draw a direction field for the given differential equation. (b) Bas
…
2 个月之前
numerade.com
SOLVED:(a) Draw a direction field for the given differential equation.
…
2020年1月23日
numerade.com
Answered: In each of Problems 1 through 12: (a) Draw a direction fi
…
2020年9月9日
bartleby.com
A Quantitative Description Model for Direction Relations Based on Dire
…
2014年12月16日
deepdyve.com
Exploring Directional Choices in Travel
已浏览 24.1万 次
10 个月之前
TikTok
sebastiancomedy
Measurement of direction and bearing @bridgeeducation4771
已浏览 1万 次
2022年8月7日
YouTube
Bridge education
Drilling Manual | Directional Drilling Survey Calculation Methods And
…
已浏览 2119 次
2021年8月14日
YouTube
Drilling Manual
11:59
Laser - Determination of wavelength
已浏览 4.2万 次
2021年6月7日
YouTube
Guru Prasad L
7:16
相信我,你找不到北的
已浏览 413 次
2021年9月3日
bilibili
木尺然
9:23
Directional Derivatives
已浏览 6.7万 次
2011年2月4日
YouTube
Mathispower4u
5:40
Direction Fields
已浏览 3.2万 次
2014年3月19日
YouTube
Lorenzo Sadun
36:37
Cardiac Axis Determination
已浏览 10.5万 次
2020年10月25日
YouTube
Tom Bouthillet
41:45
GPS Positioning (Principle & Methods)
已浏览 4.6万 次
2016年9月11日
YouTube
GPS Surveying
15:57
航海上方向确定与度量
已浏览 1171 次
2019年9月24日
bilibili
四分之一船长
4:50
Phosphate analysis
已浏览 2.7万 次
2020年12月1日
YouTube
SSERC Chemistry
7:47
Newton's Method
已浏览 4.7万 次
2020年6月6日
YouTube
Dr. Harish Garg
9:37
Traverse Calculations // Surveying
已浏览 3.3万 次
2019年10月28日
YouTube
engiNERDing
21:12
Slope Fields | Calculus
已浏览 52.5万 次
2018年3月25日
YouTube
The Organic Chemistry Tutor
4:43
Soil texture determination method
已浏览 1.3万 次
2020年7月19日
YouTube
Institute of Soil and Environmental Sciences
10:07
Soil Texture Analysis: Hydrometer Method
已浏览 16.1万 次
2011年10月11日
YouTube
KS Goh (Environ. Monitoring)
7:13
crystallographic directions
已浏览 80.9万 次
2012年9月25日
YouTube
Linda Vanasupa
5:57
Horizontal Directional Drilling - HOW IT WORKS
已浏览 19.2万 次
2019年8月9日
YouTube
Skyview Productions
1:35
Direction of torque
已浏览 24.4万 次
2015年3月15日
YouTube
Physics for the Mass(es)
37:32
An Introduction to Direction Finding
已浏览 11.8万 次
2020年2月21日
YouTube
Rohde & Schwarz
2:58
1. TRUCKIES HITCH : How to tie
已浏览 80.3万 次
2013年1月23日
YouTube
DenA
观看更多视频
更多类似内容
反馈